问题:QKV是输入吗?
class LlamaAttention(nn.Module):
...
def forward(hidden_states)
...
query_states = self.q_proj(hidden_states)
key_states = self.k_proj(hidden_states)
value_states = self.v_proj(hidden_states)

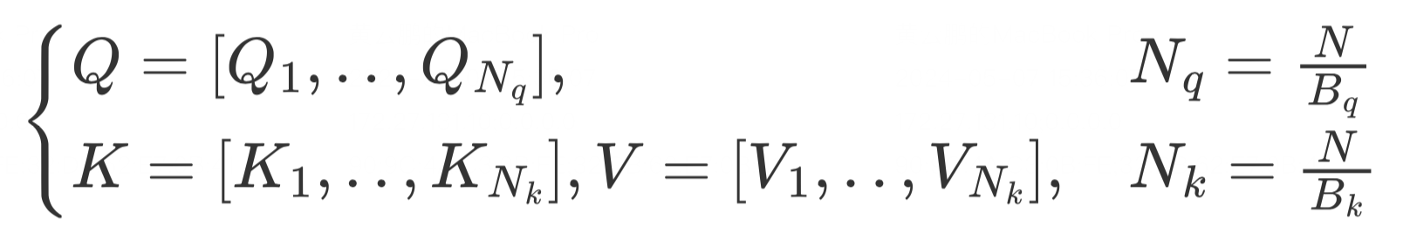
给定




移步notebook
其中,

q_proj,num_heads = h,num_key_value_heads = gk_proj/v_proj的矩阵乘与显存访问,提升批量推理吞吐num_key_value_heads=g)移步notebook






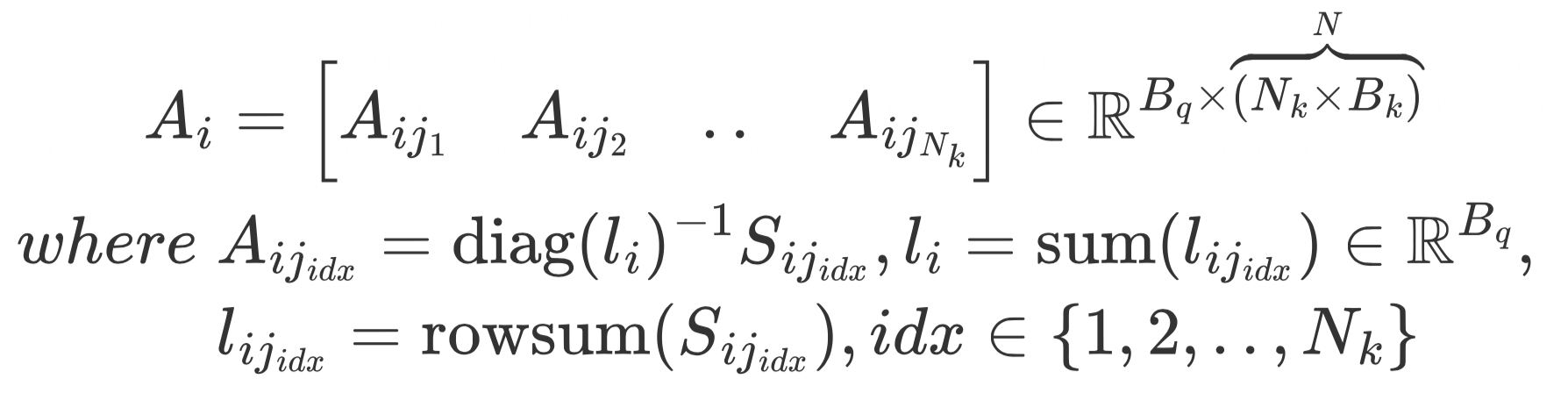
给定


给定


给定


给定



https://marp.app/
